matematykaszkolna.pl
matematykaszkolna.pl
poprzednio matematyka.pisz.pl
Matura z Matematyki
Egzamin ósmoklasisty
forum zadankowe
liczby i wyrażenia algebraiczne
logika, zbiory, przedziały
wartość bezwzględna
funkcja i jej własności
funkcja liniowa
funkcja kwadratowa
wielomiany
funkcja wymierna
funkcja wykładnicza
logarytmy
ciągi liczbowe
granica ciągu i funkcji
pochodna funkcji
trygonometria
geometria na płaszczyźnie
geometria analityczna
geometria w przestrzeni
kombinatoryka
prawdopodobieństwo
elementy statystyki
dla studenta
gra w kropki
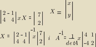
Za pomocą macierzy odwrotnej rozwiąż równanie macierzowe
macierze:
2 −1 7 A= * X= 4 4 2
5 sie 15:17
macierze:
5 sie 16:01
J:
5 sie 17:18