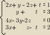
Wyznacz niewiadome
Ewa:

Wyznacz niewiadome chyba za pomocą wzoru Cramera
6 mar 14:51
Basia: niekoniecznie z wzorów Cramera, są prostsze metody np. metoda Gaussa − Jordana
napisz czy to szkoła średnia czy studia
6 mar 14:54
Ewa: studia to może Gaussa
6 mar 14:59
Ewa: bo na zajęciach robiliśmy takie równania za pomocą Cramera tylko ze tam miałam 3 równania z
trzem niewidomymi a tu 4
6 mar 15:00
Basia:
można z wzorów Cramera, ale to strasznie dużo liczenia
zmieniam kolejność równań i zmiennych
t + y − 2z+2x = 1
t +y = 3
−t +z +3x= 2
−3y − 2z+4x =0
w2 − w1; w3+w1
t + y − 2z + 2x = 1
2z − 2x = 2
y − z + 5x = 3
−3y− 2z + 4x = 0
i tak dalej; teraz pozbądź się y
czyli w3−w1 i w4+3*w1
a potem zobaczysz co dalej
i tak dalej;
6 mar 15:29
Trivial:
2 1 −2 1 | 1
0 1 0 1 | 3
4 −3 −2 0 | 0
3 0 1 −1 | 2
w1 += w4
w2 += w4
5 1 −1 0 | 3
3 1 1 0 | 5
4 −3 −2 0 | 0
3 0 1 −1 | 2
w2 ↔ w3
5 1 −1 0 | 3
4 −3 −2 0 | 0
3 1 1 0 | 5
3 0 1 −1 | 2
w1 += w3
w2 += 2*w3
8 2 0 0 | 8
10 −1 0 0 | 10
3 1 1 0 | 5
3 0 1 −1 | 2
w1 += 2*w2
28 0 0 0 | 28
10 −1 0 0 | 10
3 1 1 0 | 5
3 0 1 −1 | 2
Z pierwszego równania mamy
28x = 28
x = 1
Z drugiego:
−y = 10 − 10x = 0
y = 0
Z trzeciego:
3x + y + z = 5
z = 5−3x−y = 2
Z czwartego:
3x + z − t = 2
t = 3x+z−2 = 3.
6 mar 15:32
Ewa: ok dzięki
6 mar 16:51
DZIADZIA: witajcie kochani pomozecie mi mam na zewnątrz małe zadanko
6 mar 16:53
31 gru 14:47