ciągi arytmetyczne
Kasia: Witam Mam 5 zadanek do których nie jestem pewien. Temat zadań to : ciągi arytmetyczne.
1) 1;1
√2/2;1
√2 ;.... obliczyć trzeba 13 wyraz ciągu. Mi wyszło 13
√2/2
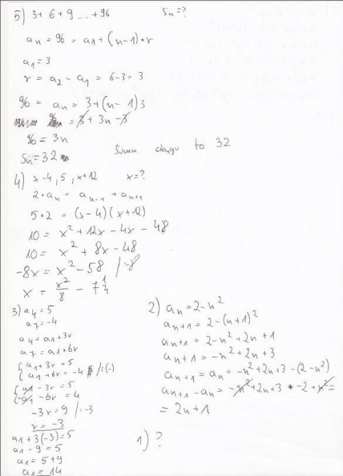
2) an=2−n
2 ...spra czy dany ciąg jest arytmetyczny. Mi wyszło ze r=−3 i ciag jest
arytmetyczny gdyż n jest stałe.
| | ⎧ | a4=5 | |
| 3) | ⎩ | a7=−4 | ...przedstaw postac ogólną ciągu an
|
4) x−4; 5; x+12 oblicz x=?
5)3+6+9.....+96 oblicz Sn (sumę ciągu) tu mi wyszło n=63
ktoś mógłby mi rozpisać i pomoc przy tym zadaniu ?
20 lut 14:16
Artur z miasta Neptuna:
1) tam chyba + powinien być pośrodku. Wynik masz zły
20 lut 14:19
Artur z miasta Neptuna:
2)
a1 = 1
a2 = −2
a3 = −7
i już na tych trzech pierwszy wyrazach widać, że nie jest to ciąg arytmetycznych.
A tak naprawdę powinieneś obliczyć an+1−an i sprawdzić czy będzie tam wartość stała (czyli
niezależna od 'n')
20 lut 14:21
Artur z miasta Neptuna:
−4 = a7 = a1 + 6r
5 = a4 = a1 + 3r
rozwiązujesz taki układ wyliczając a1 i r
wtedy: an = a1 + (n−1)*r
20 lut 14:24
Artur z miasta Neptuna:
2*an = an−1 + an+1
podstawiasz:
5*2 = (x−4)(x+12)
20 lut 14:24
Artur z miasta Neptuna:
5)
an = 96 = a1 + (n−1)*r
a1 = 3
r = a2 − a1 = 6−3 = 3
więc
96 = an = 3 + (n−1)3 −−−− wylicz 'n'
20 lut 14:27
Kasia: oki oki po kolei

w 1szym tam te 2 liczy sa po przecinku...bez żadnych znaków i trzeba
określić ile ma a13 czyli 13 wyraz ciągu
20 lut 14:34
Artur z miasta Neptuna:
w sensie:
a
1 = 1
a
3 = 1*
√2


to to nie jest ciąg arytmetyczny. Gdyby zamiast '*' był '+' to by był ... a tak to nawet
ten zapis jest idiotyczny ('bo się jedynki przed mnożeniem nie pisze')
20 lut 14:36
Artur z miasta Neptuna:
a tak na marginesie −−− nie podszywaj się pod dziewczynę

a jak już to robisz, to
przynajmniej uważaj w jakiej formie piszesz
20 lut 14:38
Kasia: dobra wdupcyłem

wiadomo kolesie wola pomagać laseczkom

A co do zadań, to dokładnie tak jak napisałeś wyżej tylko w a2 i a3 nie ma mnożenia pomiedzy.
Na karte mam po prostu 3 kolejne liczby zapisanae i mam określić na ich podstawie a13
20 lut 14:41
Tragos: "wiadomo kolesie wola pomagać laseczkom "
to tutaj nie ma żadnego znaczenia
20 lut 14:42
Kasia: hehe..na wielu forach jakoś tak odniosłem wrażenie, tu z moim zadaniem...a raczej pytaniami na
kartkówe jakie dostałem od kumpla jestem 1wszy raz, bo do tej pory mata nie była większym
problemem, ale jako że musiałęm opuścić kilka lekcji z ciągów jestem teraz zielony i zwracam
się z prośba do was..zrobiłem co umiałem
20 lut 14:45
Artur z miasta Neptuna:
| | √2 | |
to nadal −−− jeżeli nie ma tam znaku \+\ czyli 1 ; 1+ |
| ; 1 + √2 ... to te trzy |
| | 2 | |
liczby nie są kolejnymi wyrazami ciągu arytmetycznego
20 lut 14:48
Kasia: hmmm...no nie wiem na kartce dostałem tak zapisane 1 ; 1√2/2 ; 1√2 jak domniemam są to kolejno
a1,a2,i a3 i baba sobie życzy bo obliczyc 13 wyraz...tak jak pisałem nie ogarniam zbytnio tego
tematu....a może tu nie chodzi o ciąg arytmetyczny tylko o geometryczny bo tez kojaze kiedyś
mielismy taki teamt
20 lut 14:56
20 lut 15:19
Artur z miasta Neptuna:
5) ŹLE

jak suma iluś liczb (wszystkich) dodatnich może być mniejsza od największej z nich? pomyśl
trochę
20 lut 15:22
Artur z miasta Neptuna: 4)
masz tam wielomian −−− obliczasz Δ i wyliczasz x1 i x2
20 lut 15:23
Artur z miasta Neptuna:
2)
brakuje jeszcze −−− wniosek: Czyli, to nie jest ciąg arytmetyczny.
20 lut 15:24
Artur z miasta Neptuna:
3) masz a
1 i r wyliczone ... to zapisz wzór na a
n
20 lut 15:25
Kasia: ok poprawiam
20 lut 15:46
Kasia: a co z tym 1szym ? moze tu chodzi o ciąg geometryczny
20 lut 16:56
20 lut 18:54
Artur z miasta Neptuna:
1gr A ... źle
| | √2 | |
tam na pewno nie jest tak jak napisałeś ... coś takiego (1; 1 |
| ; 1√2) jest zapisem |
| | 2 | |
BEZ SENSU i dodatkowo te wyrazy NIE SĄ wyrazami ciągu arytmetycznego




20 lut 18:59
Artur z miasta Neptuna:
1 gr B ... źle
| | 1 | | 2 | | 1 | | 2 | | 1 | |
a13 = 4 |
| + (13−1)*(− |
| ) = 4 |
| + 12*(− |
| ) = 4 |
| |
| | 3 | | 3 | | 3 | | 3 | | 3 | |
20 lut 19:02
Artur z miasta Neptuna:
2 gr B
dopisz jeszcze ... 'i wynosi '1' ' (chodzi o komentarz co do stałej reszty).
20 lut 19:03
Artur z miasta Neptuna:
3 gr A ... na cholerę tak?
a7 = a1 + 6r = −4
a4 = a1 + 3r = 9
i z takiego układu wyliczasz 'a1' i 'r'.
zarówno do tego jak i do 3 gr B −−− wymnóż nawiasy // nie zostawiaj np. an = 5 + (n−1)*2 ...
tylko wymnóż i po redukuj co się da i pozostaw jako an = 2n + 3 //
20 lut 19:07
Artur z miasta Neptuna:
4 i 5 w obu grupach dobrze.
20 lut 19:09
Kasia: ok to 1sze zostawmy...bo nie wiem do konca jakie jest polecenie i o jaki ciąg chodzi wiec olać.
Ale 3 jest dobrze zrobione ? Czy po prostu zrobiłem dłuższym sposobem ?
20 lut 20:11