.
Kasia: | | √2 | | √5 | |
Może mi ktoś wytłumaczyc dlaczego |
| = |
| ?
|
| | √10 | | 5 | |
bo według mnie to nie jest to samo, a w odpowiedziach tak jest..
12 lis 17:46
kachamacha: √10=√2*5
12 lis 17:50
alfa: | | √5 | |
Przemnóż licznik i mianownik pierwszego wyrażenia przez √10 i ci wyjdzie |
| |
| | 5 | |
12 lis 17:50
Kasia: no tak zrobilam, ale nie wyszlo mi tyle :
| √2 | | √2 * √10 | | √20 | |
| = |
| = |
| i jesli to mozna skrocic no to wyjdzie mi |
| √10 | | 10 | | 10 | |
12 lis 17:53
Kasia: aaa juz wiem, nie mozna tak skrocic , tylko trzeba licznik zamienic na 2{5} i wtedy skrocic,
ok, dzieki wielkie
12 lis 17:54
Kasia: 2√5 *
12 lis 17:55
alfa: dokladnie
12 lis 17:55
Kasia: jeszcze mam problem z jednym zadankiem, a brzmi ono tak:
proste o rownaniach y = 2x+4 i y=ax+4 gdzie a≠2, przecinaja sie w punkcie:
a) A=(−2,0)
b) B(−1,2)
c) C=(0,4)
d) D=(1,6)
nie moge wpasc na pomysl jak to prosto policzyc, prosze o jakąś podpowiedz.
12 lis 18:00
Kasia: ponawiam prosbe
12 lis 18:10
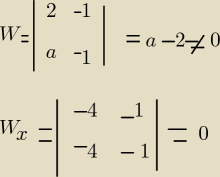
kachamacha: może wyznacznikiem
12 lis 18:14
Kasia: tzn?
12 lis 18:17
kachamacha:
12 lis 18:19
12 lis 18:20
Kasia: nigdy jakoś nie lubiłam rozwiązywać tą metodą

czy jest jakiś inny sposób na rozwiązanie tego
zadania?
12 lis 18:30